반응형

Learning Algorithm 2

Openclaw, Ollama 로컬로 동작 시키기.

혹시 저의 세팅에서 잘못된 것이 발견된다면 댓글 부탁드립니다.결론하드웨어 성능:CPU: Ryzen™ 7RAM: 64GbGPU: RTX4070TI-super 16Gb VRAM로컬로는 안 돌아간다. 질문 하나마다 그 이전의 질문을 까먹는다. 일하다가 본인이 누구인지 유저가 누구인지 다시 물어본다. 또한 워킹 스페이스 같혀, 바탕화면에 markdown을 만들고 latex을 만드는 작업을 하지 못한다. 하지만 외부 Agent와 연결할 경우 잘 작동한다.Agent 당신이 누구인지 주인이 누구인지 3번째 말해줬다. :)주의점npm 과 nvm을 sudo로 받지 말자. npm으로 Openclaw를 받는데 해당 파일이 권한이 더 높아서 접근이 안 된다.OAuth: 월 정액을 API로 돌려서 사용하는 방법이다. 정책에 반..

강화학습 용어 정리

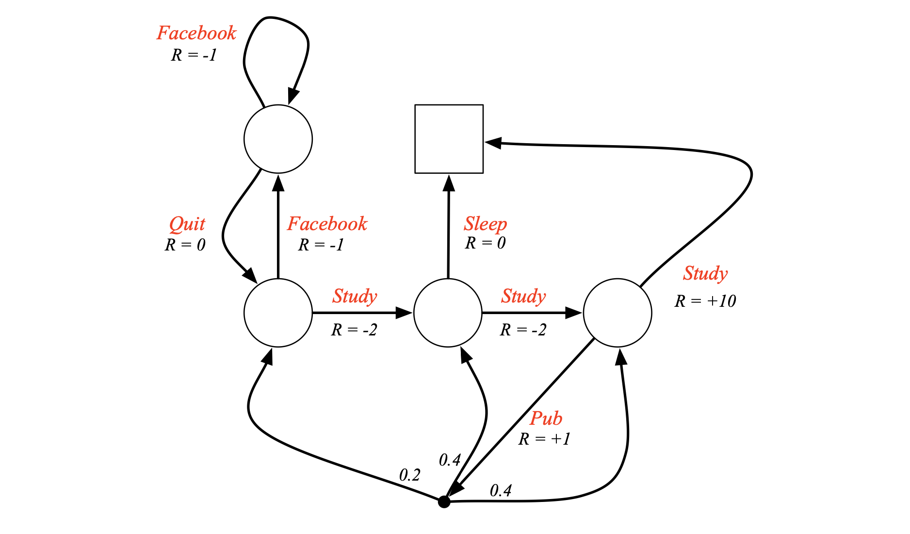
1. 강화학습으로 풀 수 있는 문제Markov Model로 추상화된 환경에서 Prediction과 Control 문제를 풀 수 있다. Prediction이란 Model based 또는 Planning라고 불리며, 여러 번의 시뮬레이션을 통해 해당 State와 action의 가치를 계산하는 것이다. Control은 모든 State에서 Value가 가장 크게 할 수 있는 policy를 찾는 것이다.Policy: State에서 어떤 Action을 취할지에 관한 확률 분포 함수(PDF)이다.State: Markov Model에서 노드로 추상화된 상태이다.Action: State에서 다른 노드로 이동하기 위해 할 수 있는 행동들의 집합이다.즉, State에서 Policy를 보고 어떤 Action을 할 확률을 알 ..

반응형